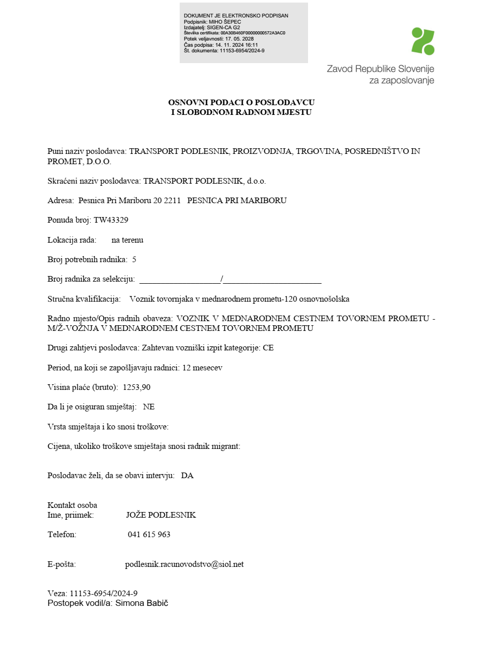
Poslovi 15 Nov,2024 Štampa Poslovi Vozač CE Skinuti Biografiju (CV) ovdje Vozač CE (5)Transport Podlesnik dooSlovenija Prethodno Sljedeće